DESIGN OF HIGHLY SPECIFIC STRUCTURAL FRAGMENTS FOR FILTERING COMPOUNDS WITH UNDESIRABLE ACTIVITIES
Institute of Biomedical Chemistry, 10 Pogodinskaya str., Moscow, 119121 Russia; *e-mail: polina.savosina@ibmc.msk.ru
Keywords:in silico studies; estimating atomic contributions; structural fragments; molecular targets; adverse drug reactions
DOI:10.18097/BMCRM00303
The design of chemical compounds with desired properties is a key approach in medicinal chemistry for drug development. Modifying structural formulas it is possible to reduce undesirable biological activities exhibited by the substance under study. Various in silico methods are widely used to predict the types of activity in designed molecules, thereby reducing both the financial and time costs associated with experimental screening of potentially unsafe substances. However, the performance of many computer-based assessment algorithms depends on well-balanced training datasets containing a sufficient number of both positive and negative examples (information on the structural formulas of compounds that do and do not exhibit the desired type of activity). When standard predictive approaches are not applicable, an alternative strategy involves assessing the presence or absence of structural fragments associated with specific biological effects. To support this approach, we have developed a method that estimates the contribution of individual atoms to a given biological activity, taking into account their local structural environment. The applicability of this method to practical drug discovery tasks was demonstrated by analyzing molecular targets linked to a broad range of adverse drug reactions. Moreover, comparison of the constructed fragments with known structural motifs responsible for molecular target binding confirms the robustness of our method and highlights its potential for identifying functionally relevant structural regions in compounds that interact with molecular targets lacking resolved three-dimensional structures.
|
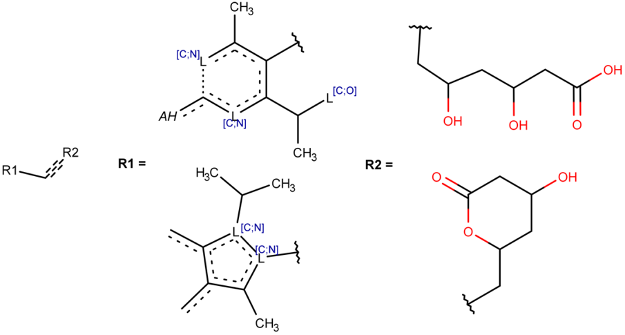
Figure 2.
The designed fragment specific to ACE inhibitors (bottom) and the structural formulas of approved active pharmaceutical substances used for its construction.
|
FUNDING
The study was performed in the framework of the Program for Basic Research in the Russian Federation for a long-term period (2021–2030) (No. 122030100170-5).
REFERENCES
- Pennington, L.D., Hesse, M.J., Koester, D.C., McAtee, R.C., Qunies, A.M., Hu, D.X. (2024) Property-Based Drug Design Merits a Nobel Prize. Journal of Medicinal Chemistry, 67(14), 11452–11458. DOI
- Jenkinson, S., Schmidt, F., Rosenbrier Ribeiro, L., Delaunois, A., Valentin, J.P. (2020) A practical guide to secondary pharmacology in drug discovery. Journal of Pharmacological and Toxicological Methods, 105, 106869. DOI
- Lynch, J.J. 3rd, Van Vleet, T.R., Mittelstadt, S.W., Blomme, E.A.G. (2017) Potential functional and pathological side effects related to off-target pharmacological activity. Journal of Pharmacological and Toxicological Methods, 87, 108–126. DOI
- Dey, S., Luo, H., Fokoue, A., Hu, J., Zhang, P. (2018) Predicting adverse drug reactions through interpretable deep learning framework. BMC Bioinformatics, 19(Suppl 21), 476. DOI
- Druzhilovskiy, D.S., Stolbov, L.A., Savosina, P.I., Pogodin, P.V., Filimonov, D.A., Veselovsky, A.V., Stefanisko, K., Tarasova, N.I., Nicklaus, M.C., Poroikov, V.V. (2020) Computational Approaches To Identify A Hidden Pharmacological Potential In Large Chemical Libraries. Supercomputing Frontiers and Innovations, 7(3), 57-76. DOI
- Savosina, P., Druzhilovskiy, D., Filimonov, D., Poroikov, V. (2024) WWAD: the most comprehensive small molecule World Wide Approved Drug database of therapeutics. Frontiers in Pharmacology, 15, 1473279. DOI
- Filimonov, D., Druzhilovskiy, D., Lagunin, A., Gloriozova, T., Rudik, A., Dmitriev, A., Pogodin, P., Poroikov, V. (2018) Computer-aided Prediction of Biological Activity Spectra for Chemical Compounds: Opportunities and Limitations. Biomedical Chemistry: Research and Methods, 1(1), e00004. DOI
- ChemAxon. Cross-product documentation. Document formats. Marvin Documents – MRV. Retrieved October 16, 2025, from: https://docs.chemaxon. com/display/docs/formats_marvin-documents-mrv.md
- PubChem database. Retrieved October 1, 2025, from: https://pubchem.ncbi. nlm.nih.gov/
- PubChem database. Table of Contents. BioAssay Results. Retrieved October 1, 2025, from: https://pubchem.ncbi.nlm.nih.gov/ classification/#hid=72&search=BioAssay+Results
- Smolinska, S., Antolín-Amérigo, D., Popescu, F.D. (2023) Bradykinin Metabolism and Drug-Induced Angioedema. International Journal of Molecular Sciences, 24(14), 11649. DOI
- Weissman, S., Aziz, M., Perumpail, R.B., Mehta, T.I., Patel, R., Tabibian, J.H. (2020) Ever-increasing diversity of drug-induced pancreatitis. World Journal of Gastroenterology, 26(22), 2902–2915. DOI
- Macías Saint-Gerons, D., Bosco Cortez, F., Jiménez López, G., Castro, J.L., Tabarés-Seisdedos, R. (2019) Cataracts and statins. A disproportionality analysis using data from VigiBase. Regulatory Toxicology and Pharmacology : RTP, 109, 104509. DOI
- Safitri, N., Alaina, M.F., Pitaloka, D.A.E., Abdulah, R. (2021) A Narrative Review of Statin-Induced Rhabdomyolysis: Molecular Mechanism, Risk Factors, and Management. Drug, Healthcare and Patient Safety, 13, 211–219. DOI
- Zeng, W., Deng, H., Luo, Y., Zhong, S., Huang, M., Tomlinson, B. (2025) Advances in statin adverse reactions and the potential mechanisms: A systematic review. Journal of Advanced Research, 76, 781–797. DOI
- Guggina, L.M., Choi, A.W., Choi, J.N. (2017) EGFR Inhibitors and Cutaneous Complications: A Practical Approach to Management. Oncology and Therapy, 5, 135–148. DOI
- Izzedine, H., Perazella, M.A. (2017) Adverse kidney effects of epidermal growth factor receptor inhibitors. Nephrology, Dialysis, Transplantation : Official Publication of the European Dialysis and Transplant Association - European Renal Association, 32(7), 1089–1097. DOI
- Kapur, S., Zipursky, R., Jones, C., Remington, G., Houle, S. (2000) Relationship between dopamine D(2) occupancy, clinical response, and side effects: a double-blind PET study of first-episode schizophrenia. The American Journal of Psychiatry, 157(4), 514–520. DOI
- Ehlert, F.J., Pak, K.J., Griffin, M.T. (2012) Muscarinic agonists and antagonists: effects on gastrointestinal function. Handbook of Experimental Pharmacology, 208, 343–374. DOI
- Lin, S., Kajimura, M., Takeuchi, K., Kodaira, M., Hanai, H., Kaneko, E. (1997) Expression of muscarinic receptor subtypes in rat gastric smooth muscle: effect of M3 selective antagonist on gastric motility and emptying. Digestive Diseases and Sciences, 42(5), 907–914. DOI
- Cao, Y., Jiang, T., Girke T. (2008) A maximum common substructure-based algorithm for searching and predicting drug-like compounds. Bioinformatics (Oxford, England), 24(13), i366–i374. DOI
- Scott, C., Dodson, A., Saulnier, M., Snyder, K., Racz, R. (2022) Analysis of secondary pharmacology assays received by the US Food and Drug Administration. Journal of Pharmacological and Toxicological Methods, 117, 107205. DOI
- Huggins, D.J., Venkitaraman, A.R., Spring, D.R. (2011) Rational methods for the selection of diverse screening compounds. ACS Chemical Biology, 6(3), 208–217. DOI
- Zheng, W., Tian, E., Liu, Z., Zhou, C., Yang, P., Tian, K., Liao, W., Li, J., Ren, C. (2022) Small molecule angiotensin converting enzyme inhibitors: A medicinal chemistry perspective. Frontiers in Pharmacology, 13, 968104. DOI
- Patel, K.B., Heppner, D.E. (2025) Lazertinib: breaking the mold of thirdgeneration EGFR inhibitors. RSC Medicinal Chemistry, 16(3), 1049–1066. DOI
- Sutanto, F., Konstantinidou, M., Dömling, A. (2020) Covalent inhibitors: a rational approach to drug discovery. RSC Medicinal Chemistry, 11(8), 876–884. DOI
- Damghani, T., Chitnis, S.P., Abidakun, O.A., Patel, K.B., Lin, K.S., Ouellette, E.A., Lantry, A.M., Heppner, D.E. (2025) Profiling and Optimizing Targeted Covalent Inhibitors through EGFR-Guided Studies. Journal of Medicinal Chemistry, 68(16), 17917–17932. DOI
- Lin, J., He, Y., Ru, C., Long, W., Li, M., Wen, Z. (2024) Advancing Adverse Drug Reaction Prediction with Deep Chemical Language Model for Drug Safety Evaluation. International Journal of Molecular Sciences, 25(8), 4516. DOI






